Buy Coins
Markets
Trade
Contract Trading ETH
Options Trading
Contract Trading BTC
Fund Management
NFT
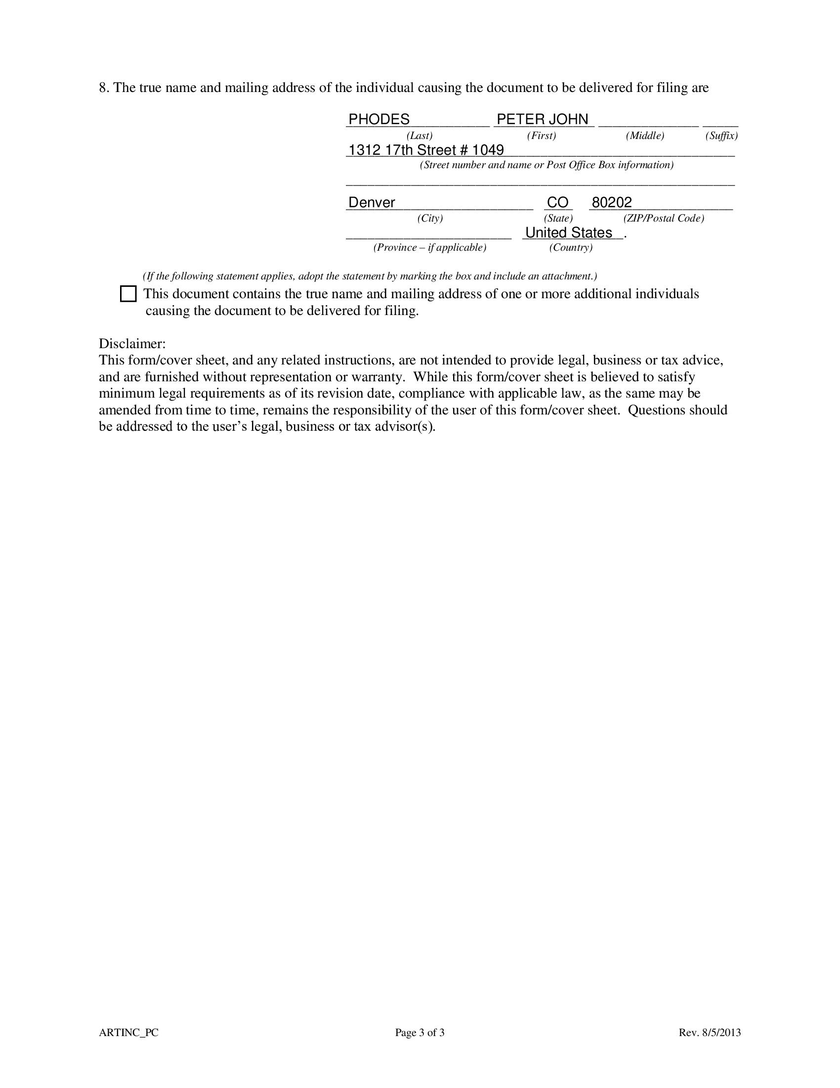
Support
Login
English
Back
Latest Events
Crypto Center Exchange
Bulletin Center
Crypto Center Exchange
Latest Announcements
【Crypto Center Exchange (CCE) Brand Introduction】
Help Center
Recharge consultation page
Deposit cash
About Us
Contact information
Copyright©2024 Crypto Center Exchange LIMITED